Introduction To Pharmacokinetics
Elimination Rate Constant
FINDING THE ELIMINATION RATE CONSTANT USING AN EQUATION
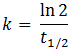
The elimination rate constant (k) and half-life (t
1/2
) are linked by the equation(s) below.
Therefore, if you know the half-life of a drug, you can calculate its elimination rate constant.
which can also be written as
Show Example Calculation
(Using Graph And Drug From Previous Pages)