Introduction To Pharmacokinetics

Elimination Rate Constant

HOW TO FIND THE ELIMINATION RATE CONSTANT

This activity describes two of the main ways to find the elimination rate constant of a drug.

Method 1: Slope Of Graph
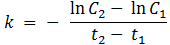
You can find the elimination rate constant (k) from the slope of the semilogarithmic graph plotting a drug's concentration against time.
The slope and elimination rate constant are linked as below:

Equation
Show key                        Where does this equation come from?

Method 2: Equation
If you know the half-life of a drug, you can use the following equation to calculate the elimination rate constant:
Equation