Introduction To Pharmacokinetics

Area Under The Concentration-Time Curve (AUC)

WHAT AFFECTS AUC?

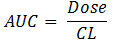
The following equations show how AUC, elimination rate constant (k), clearance (CL), volume of distribution (Vd) and dose are related to each other.
Equation
Equation      Equation
Click below to see further information about how AUC is affected by:

Elimination rate constant

Dose

Clearance

Volume of distribution